On this page you could find benchmark sets used in our study of Vehicle Routing Problem with Dynamic Requests (the files are created according to the format proposed by Montemanni et al. (2009))
Below we present the values of the best known results for the 21 literature benchmark sets. 19 of the best results were found by our algorithm ContDVRP (its earliear version has been 2-Phase Multi-swarm Particle Swarm Optimization (2MPSO)). For those results we present also the solutions in form of a picture and a time table for the vehicles.
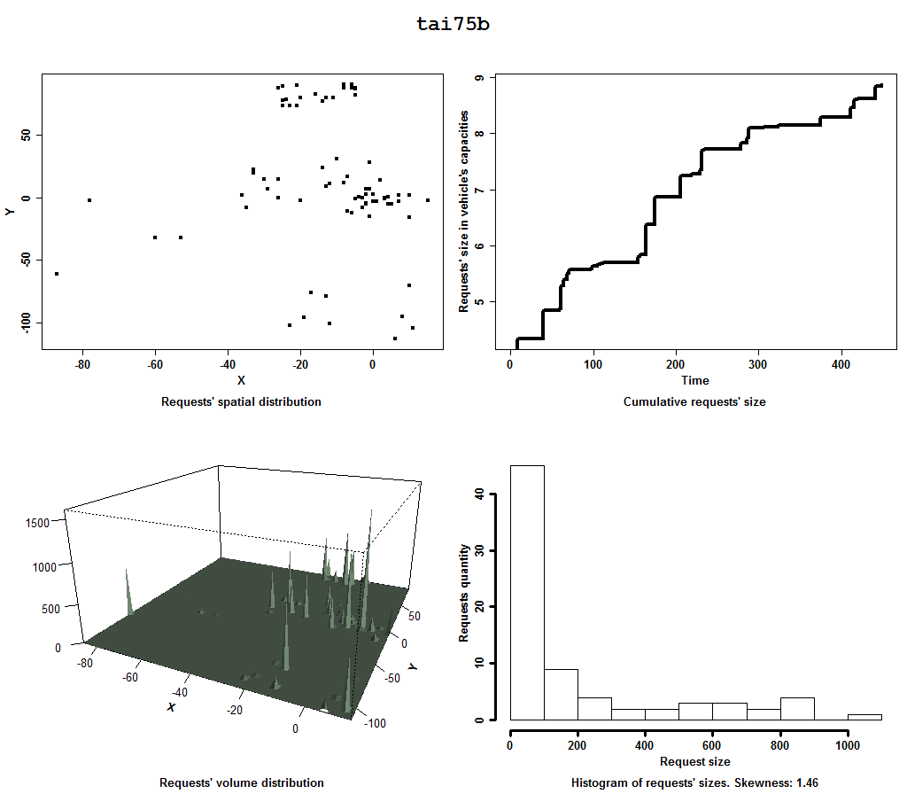
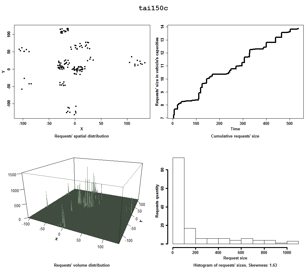
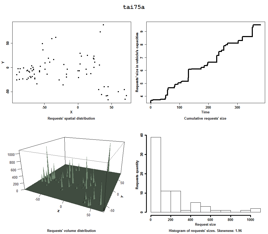
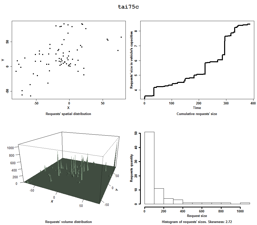
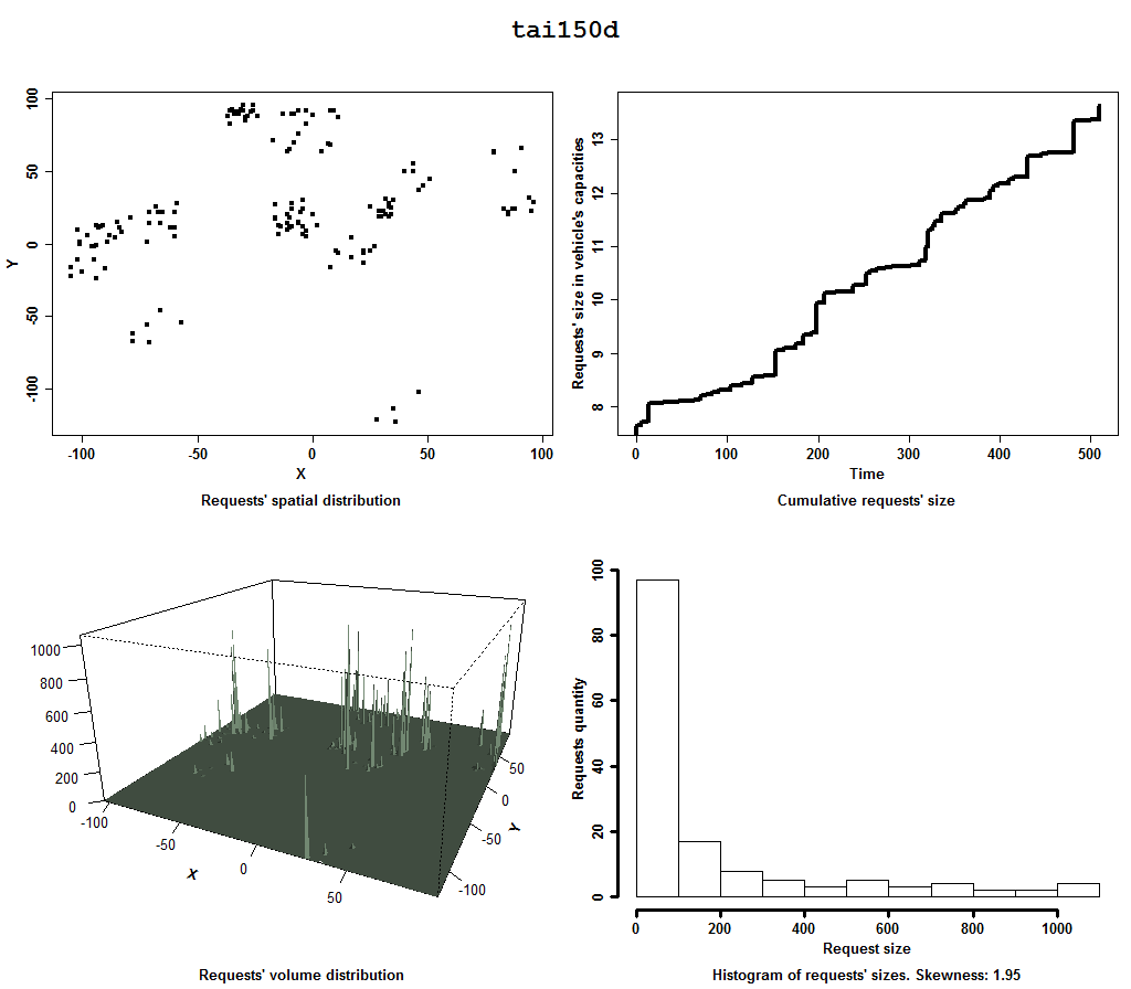
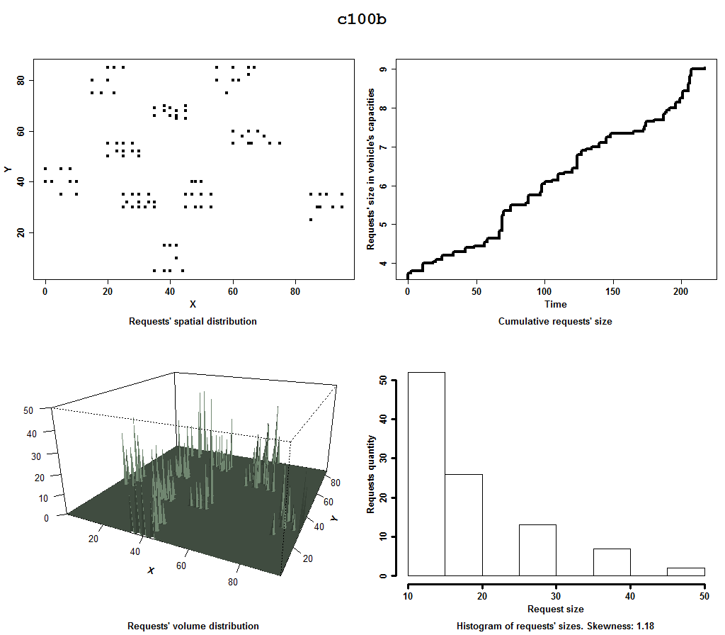
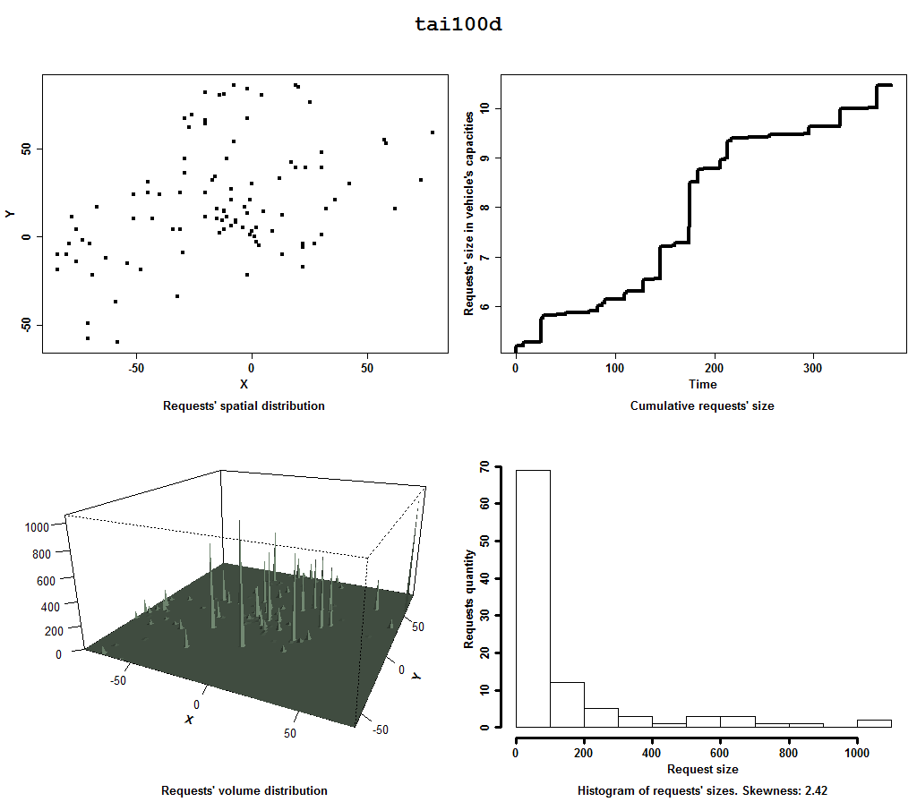
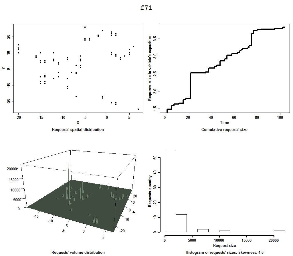
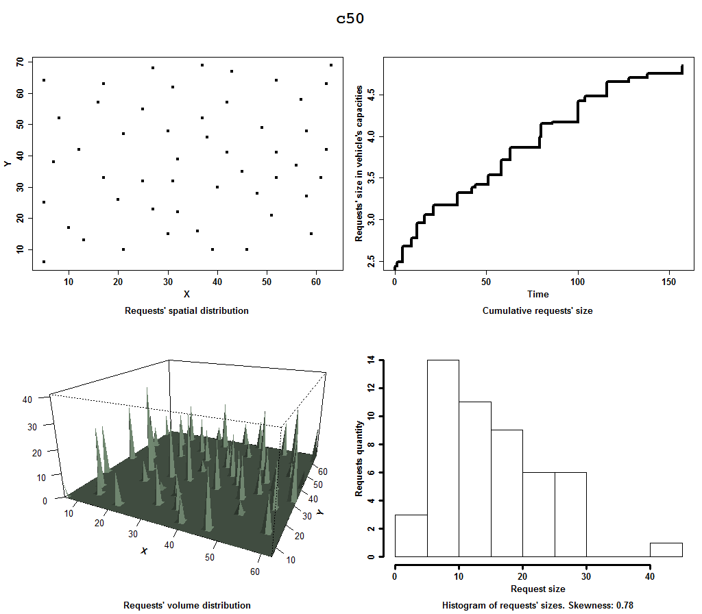
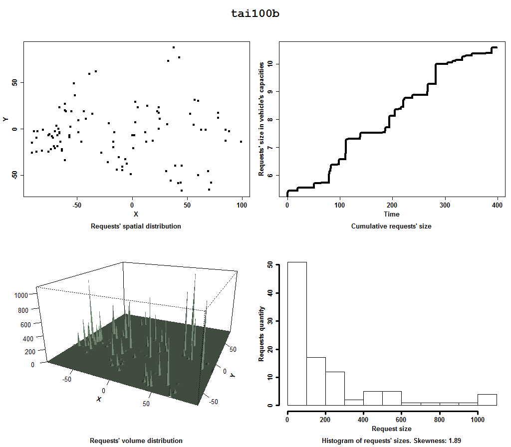
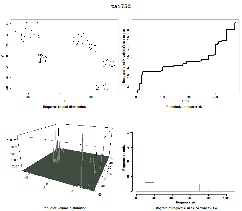
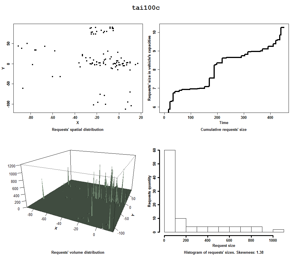
Also, for all the benchmarks, graphical representation of the requests’ spatial, temporal and sizes distributions is given.
The code and the binary files of the ContDVRP (with the settings for a standard number of fitness function evaluations may be found here)
| Benchmark requests distribution |
Best known solution preview |
Best known solution |
|---|---|---|
| c50 | ![]() |
551.07 |
| c75 | ![]() |
876.01 |
| c100 | ![]() |
882.18 |
| c100b | ![]() |
819.56 |
| c120 | ![]() |
1052.75 |
| c150 | ![]() |
1081.48 |
| c199 | ![]() |
1350.04 |
| f71 | ![]() |
271.02 |
| f134 | ![]() |
11658.14 |
| tai75a | ![]() |
1684.95 |
| tai75b | ![]() |
1359.06 |
| tai75c | UNKNOWN TO US | 1406.27 |
| tai75d | UNKNOWN TO US | 1342.26 |
| tai100a | ![]() |
2103.99 |
| tai100b | ![]() |
2032.52 |
| tai100c | ![]() |
1425.83 |
| tai100d | ![]() |
1668.75 |
| tai150a | ![]() |
3247.56 |
| tai150b | ![]() |
2842.20 |
| tai150c | ![]() |
2441.12 |
| tai150d | ![]() |
2813.40 |


















